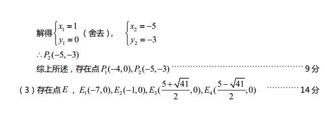
2016年龙岩市九年级学业(升学)质量检查数学试题及答案(高清版)
首页
考试专题
学习经验分享
中高考模拟题
学习专题
哈尔滨中考网
全国中学库
中考频道
中学数学
中学公式大全
中考学习方法
首页
中学数学模拟题
内容
2016年龙岩市九年级学业(升学)质量检查数学试题及答案(高清版)
学参中考网(24-01-22)
1
2